
확률
확률은 어떤 사건이 일어날 가능성의 측도입니다. 자주 두 가지 이상의 사건의 관계를 알아봐야 할 일이 생기는데 그때 알아야 할 확률 유형이 세 가지가 있습니다.
결합 확률 (Joint probability)
P(A and B) = P(A, B) 두 사건이 동시에 발생할 확률을 의미합니다.
주변 확률 (Marginal probability)
P(A) 또는 P(B) 두 개 이상의 확률변수들의 결합 분포로부터, 그중 하나만의 확률변수에 대한 확률
조건부 확률 (Conditional probability)
P(A|B) = 사건 B가 사실일 경우 A의 확률 하나가 사실일 경우의 다른 사건에 대한 확률
두 개의 이산 확률변수 Discrete Random Variable
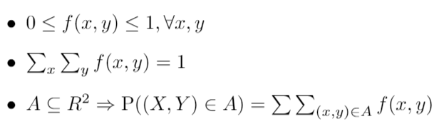
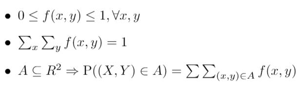
- 결합 확률 질량 함수 Joint Probability Mass Function
두 개의 이산 확률변수 X와 Y의 결합 확률 질량 함수는 Joint pmf는 다음과 같습니다.

결합 확률 질량 함수의 일반적인 속성은 다음과 같습니다.

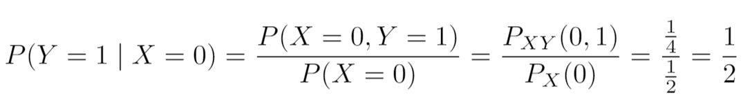
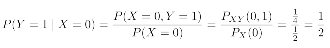
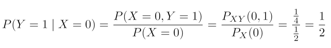
예) 두 동전을 던졌을 때 나올 수 있는 확률을 정리한 테이블 [0이 뒷면, 1이 앞면]
| f(x, y) | X = 0 | X = 1 | P(Y=y) |
| Y = 0 | 1/4 | 1/4 | 1/2 |
| Y = 1 | 1/4 | 1/4 | 1/2 |
| P(X=x) | 1/2 | 1/2 | 1 |
- 주변 확률 질량 함수Marginal PMFs

여기서 제일 밑 줄을 X에 대한 주변 확률 질량 함수(Marginal pmf of X) 그리고 제일 오른쪽 행이 Y에 대한 주변 확률질랑 함수(Marginal pmf of Y)라고 할 수 있다.
X 동전이 앞면 (x=1)이 나올 주변 확률(P(X=1))은 P(1, 0) + P(1, 1) = 1/4+1/4로 1/2입니다.

주변 확률 질량 함수는 다음과 같습니다.

두 동전을 던졌을 때 X동전이 뒷면인걸 아는 경우 (X=0), Y동전이 앞면(Y=1)일 조건부 확률은?

이 포스트는 강의 내용과 위키백과, probability course 내용을 토대로 작성되었습니다.
혹시 틀린 내용이 있거나 질문이 있으시면 댓글로 남겨주세요 :)
'ᐧ༚̮ᐧ Data Science | AI > 통계, 수학' 카테고리의 다른 글
| [통계] p값 이해하기 (1) | 2024.11.14 |
|---|---|
| [딥러닝 / 수학] 코사인 유사도 cosine similarity 이해하기 (1) | 2024.06.21 |
| [통계학 with R, Python] t-검정 (t-test) (1) | 2021.09.12 |
| [통계] 확률변수, 확률분포 (1) | 2021.06.12 |
| [통계] 척도 (Scale)의 4가지 종류: 명목 척도, 서열 척도, 구간 척도, 비율 척도 (7) | 2021.05.27 |